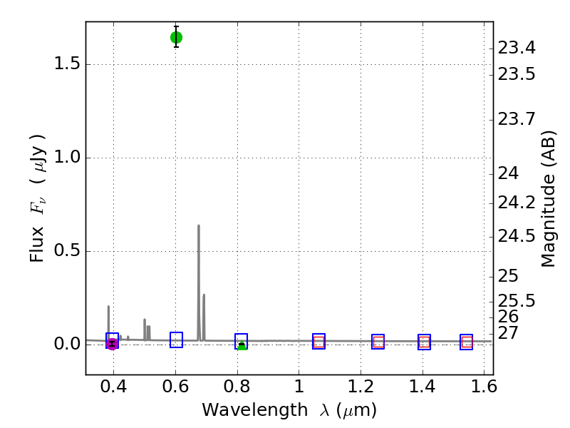
RXS0603+42-S IR detection object #4265

Color images and BPZ results
Catalog: 4265.cat
Black segments are analyzed here.   Roll mouse over color images to view segments.
Best viewed in a wide browser window (1200 pixels or more).   Download SED & P(z) plots to view larger versions.
In P(z) plots: Yellow lines mark the cluster redshift z = 0.228,  

Object #4265   x,y = (1169, 2447)   RA, Dec = (06:03:33.600, 42:09:53.28) = (90.89000, 42.16480)   BPZ = 0.031 [0.024--3.094]   type = 11.00 (SB11_A_0_l)   stellarity = 0.94   chisq2 = 908.00   ODDS = 0.10   z_cluster = 0.228