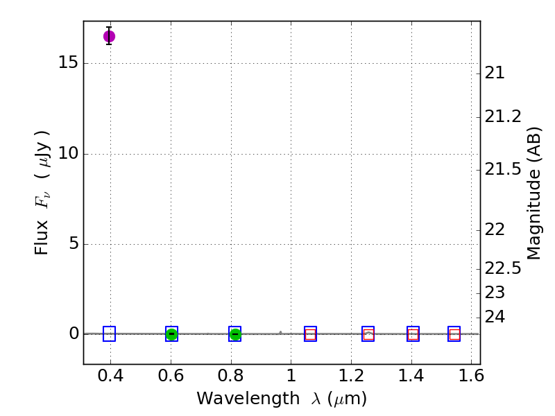
RXS0603+42-S IR detection object #4259

Color images and BPZ results
Catalog: 4259.cat
Black segments are analyzed here.   Roll mouse over color images to view segments.
Best viewed in a wide browser window (1200 pixels or more).   Download SED & P(z) plots to view larger versions.
In P(z) plots: Yellow lines mark the cluster redshift z = 0.228,  

Object #4259   x,y = (3971, 2509)   RA, Dec = (06:03:18.480, 42:09:56.88) = (90.82700, 42.16580)   BPZ = 1.593 [0.303--4.176]   type = 11.00 (SB11_A_0_l)   stellarity = 0.99   chisq2 = 1146.00   ODDS = 0.11   z_cluster = 0.228