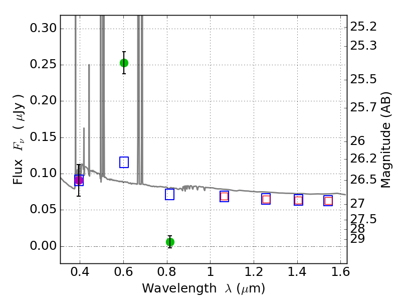
RXS0603+42-S IR detection object #4249

Color images and BPZ results
Catalog: 4249.cat
Black segments are analyzed here.   Roll mouse over color images to view segments.
Best viewed in a wide browser window (1200 pixels or more).   Download SED & P(z) plots to view larger versions.
In P(z) plots: Yellow lines mark the cluster redshift z = 0.228,  

Object #4249   x,y = (3894, 2423)   RA, Dec = (06:03:18.888, 42:09:51.84) = (90.82870, 42.16440)   BPZ = 0.019 [0.010--0.041]   type = 11.00 (SB11_A_0_l)   stellarity = 0.08   chisq2 = 98.09   ODDS = 1.00   z_cluster = 0.228