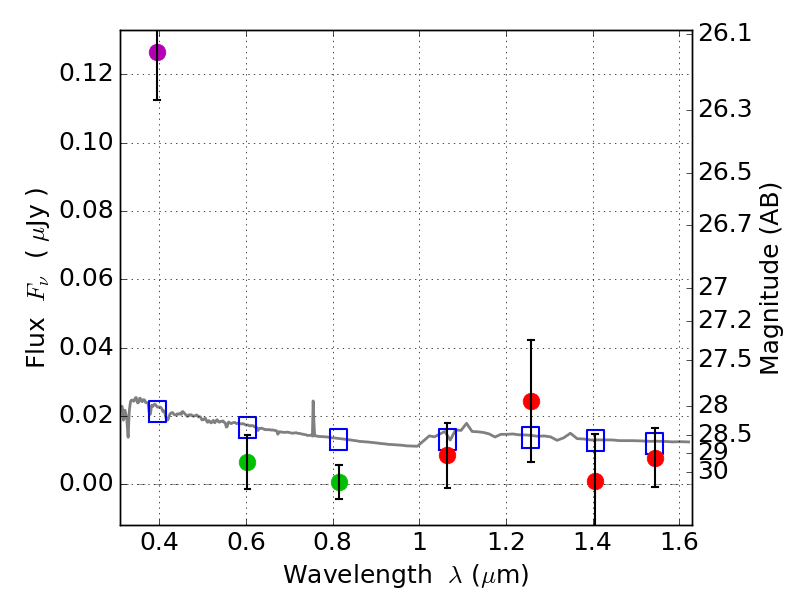
RXS0603+42-S IR detection object #4233

Color images and BPZ results
Catalog: 4233.cat
Black segments are analyzed here.   Roll mouse over color images to view segments.
Best viewed in a wide browser window (1200 pixels or more).   Download SED & P(z) plots to view larger versions.
In P(z) plots: Yellow lines mark the cluster redshift z = 0.228,  

Object #4233   x,y = (3299, 2568)   RA, Dec = (06:03:22.104, 42:10:00.48) = (90.84210, 42.16680)   BPZ = 1.700 [0.815--2.513]   type = 11.00 (SB11_A_0_l)   stellarity = 0.49   chisq2 = 15.79   ODDS = 0.30   z_cluster = 0.228