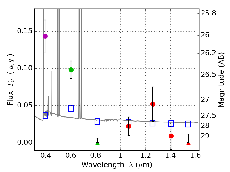
RXS0603+42-S IR detection object #4222

Color images and BPZ results
Catalog: 4222.cat
Black segments are analyzed here.   Roll mouse over color images to view segments.
Best viewed in a wide browser window (1200 pixels or more).   Download SED & P(z) plots to view larger versions.
In P(z) plots: Yellow lines mark the cluster redshift z = 0.228,  

Object #4222   x,y = (3208, 2461)   RA, Dec = (06:03:22.608, 42:09:54.00) = (90.84420, 42.16500)   BPZ = 0.024 [0.019--2.304]   type = 11.00 (SB11_A_0_l)   stellarity = 0.42   chisq2 = 16.71   ODDS = 0.10   z_cluster = 0.228