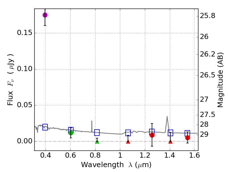
RXS0603+42-S IR detection object #4215

Color images and BPZ results
Catalog: 4215.cat
Black segments are analyzed here.   Roll mouse over color images to view segments.
Best viewed in a wide browser window (1200 pixels or more).   Download SED & P(z) plots to view larger versions.
In P(z) plots: Yellow lines mark the cluster redshift z = 0.228,  

Object #4215   x,y = (3087, 2465)   RA, Dec = (06:03:23.256, 42:09:54.36) = (90.84690, 42.16510)   BPZ = 1.763 [0.958--2.427]   type = 11.00 (SB11_A_0_l)   stellarity = 0.64   chisq2 = 29.91   ODDS = 0.33   z_cluster = 0.228