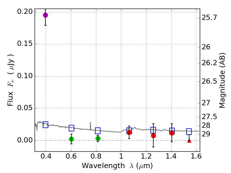
RXS0603+42-S IR detection object #4176

Color images and BPZ results
Catalog: 4176.cat
Black segments are analyzed here.   Roll mouse over color images to view segments.
Best viewed in a wide browser window (1200 pixels or more).   Download SED & P(z) plots to view larger versions.
In P(z) plots: Yellow lines mark the cluster redshift z = 0.228,  

Object #4176   x,y = (3074, 2485)   RA, Dec = (06:03:23.328, 42:09:55.44) = (90.84720, 42.16540)   BPZ = 1.701 [0.906--2.316]   type = 11.00 (SB11_A_0_l)   stellarity = 0.70   chisq2 = 30.32   ODDS = 0.40   z_cluster = 0.228