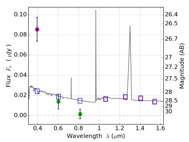
RXS0603+42-S IR detection object #4115

Color images and BPZ results
Catalog: 4115.cat
Black segments are analyzed here.   Roll mouse over color images to view segments.
Best viewed in a wide browser window (1200 pixels or more).   Download SED & P(z) plots to view larger versions.
In P(z) plots: Yellow lines mark the cluster redshift z = 0.228,  

Object #4115   x,y = (3854, 2519)   RA, Dec = (06:03:19.104, 42:09:57.60) = (90.82960, 42.16600)   BPZ = 1.596 [1.041--2.389]   type = 11.00 (SB11_A_0_l)   stellarity = 0.36   chisq2 = 34.57   ODDS = 0.26   z_cluster = 0.228