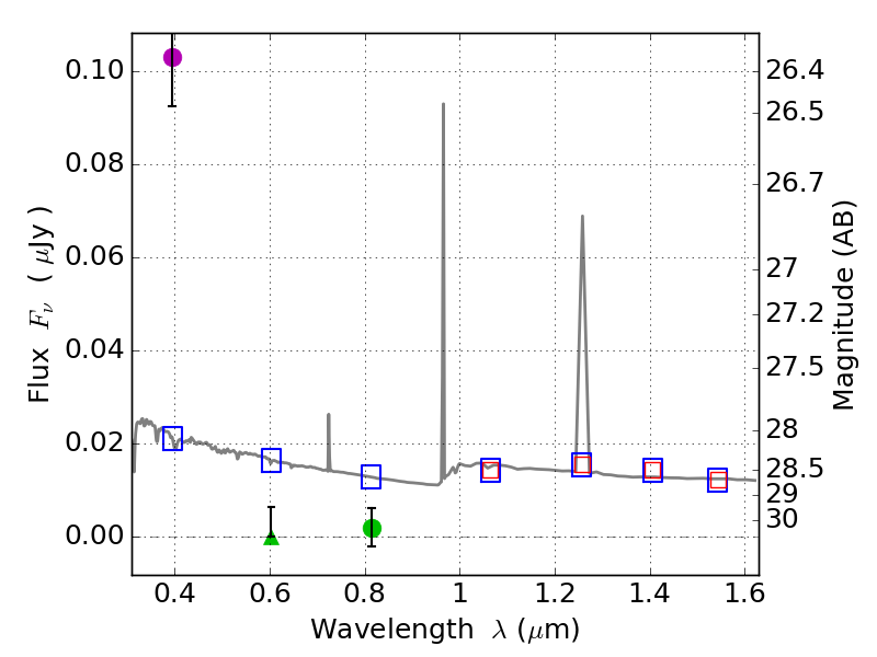
RXS0603+42-S IR detection object #3830

Color images and BPZ results
Catalog: 3830.cat
Black segments are analyzed here.   Roll mouse over color images to view segments.
Best viewed in a wide browser window (1200 pixels or more).   Download SED & P(z) plots to view larger versions.
In P(z) plots: Yellow lines mark the cluster redshift z = 0.228,  

Object #3830   x,y = (3775, 2674)   RA, Dec = (06:03:19.536, 42:10:06.60) = (90.83140, 42.16850)   BPZ = 1.595 [1.007--2.486]   type = 11.00 (SB11_A_0_l)   stellarity = 0.46   chisq2 = 70.06   ODDS = 0.26   z_cluster = 0.228