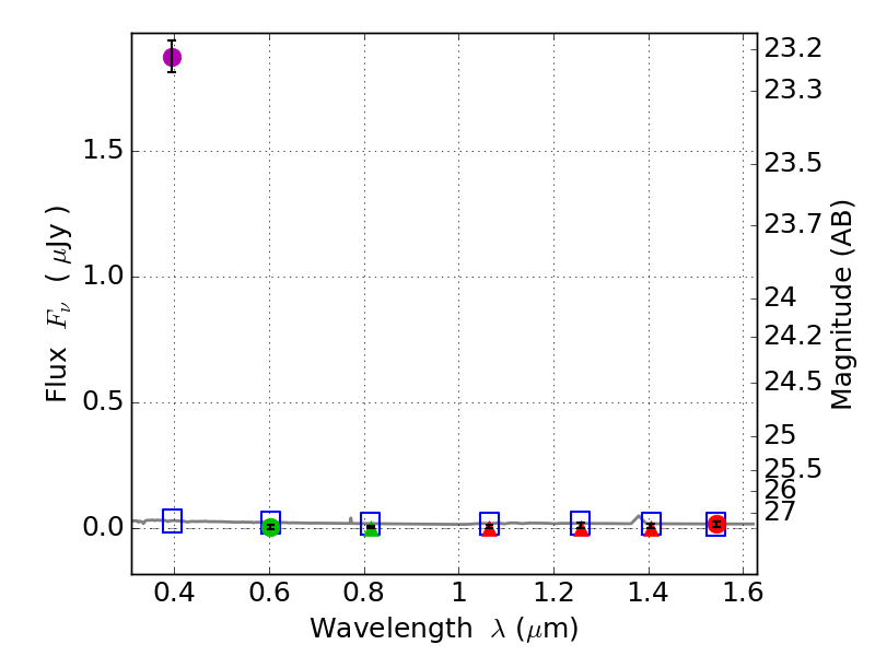
RXS0603+42-S IR detection object #3822

Color images and BPZ results
Catalog: 3822.cat
Black segments are analyzed here.   Roll mouse over color images to view segments.
Best viewed in a wide browser window (1200 pixels or more).   Download SED & P(z) plots to view larger versions.
In P(z) plots: Yellow lines mark the cluster redshift z = 0.228,  

Object #3822   x,y = (2547, 2679)   RA, Dec = (06:03:26.160, 42:10:06.96) = (90.85900, 42.16860)   BPZ = 1.763 [0.694--2.807]   type = 11.00 (SB11_A_0_l)   stellarity = 0.99   chisq2 = 215.40   ODDS = 0.24   z_cluster = 0.228