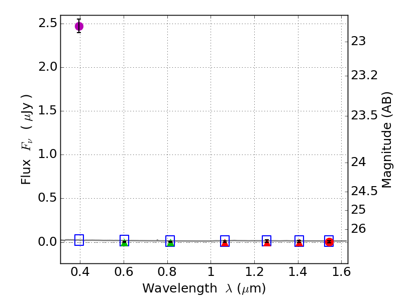
RXS0603+42-S IR detection object #3770

Color images and BPZ results
Catalog: 3770.cat
Black segments are analyzed here.   Roll mouse over color images to view segments.
Best viewed in a wide browser window (1200 pixels or more).   Download SED & P(z) plots to view larger versions.
In P(z) plots: Yellow lines mark the cluster redshift z = 0.228,  

Object #3770   x,y = (2396, 2708)   RA, Dec = (06:03:26.976, 42:10:08.76) = (90.86240, 42.16910)   BPZ = 1.700 [0.423--6.182]   type = 11.00 (SB11_A_0_l)   stellarity = 0.77   chisq2 = 253.10   ODDS = 0.16   z_cluster = 0.228