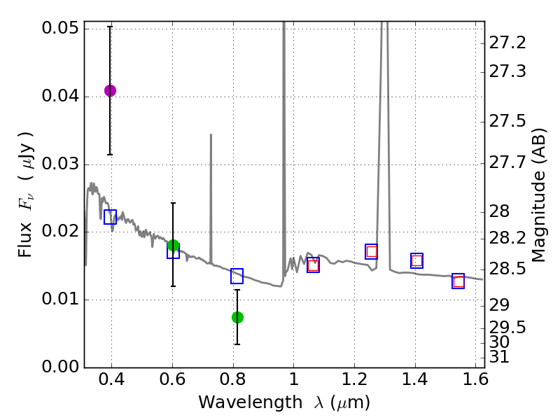
RXS0603+42-S IR detection object #3752

Color images and BPZ results
Catalog: 3752.cat
Black segments are analyzed here.   Roll mouse over color images to view segments.
Best viewed in a wide browser window (1200 pixels or more).   Download SED & P(z) plots to view larger versions.
In P(z) plots: Yellow lines mark the cluster redshift z = 0.228,  

Object #3752   x,y = (3930, 2720)   RA, Dec = (06:03:18.696, 42:10:09.48) = (90.82790, 42.16930)   BPZ = 1.596 [0.692--2.635]   type = 11.00 (SB11_A_0_l)   stellarity = 0.47   chisq2 = 5.86   ODDS = 0.19   z_cluster = 0.228