RXS0603+42-S IR detection object #3737

Color images and BPZ results
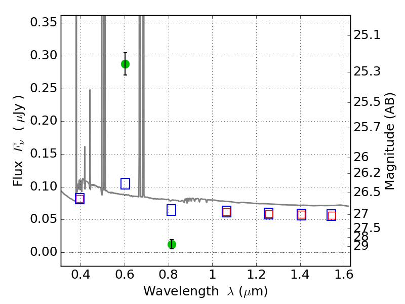
Catalog: 3737.cat
Black segments are analyzed here.   Roll mouse over color images to view segments.
Best viewed in a wide browser window (1200 pixels or more).   Download SED & P(z) plots to view larger versions.
In P(z) plots: Yellow lines mark the cluster redshift z = 0.228,  

Object #3737   x,y = (4214, 2728)   RA, Dec = (06:03:17.160, 42:10:09.84) = (90.82150, 42.16940)   BPZ = 0.019 [0.010--0.042]   type = 11.00 (SB11_A_0_l)   stellarity = 0.98   chisq2 = 123.20   ODDS = 1.00   z_cluster = 0.228