RXS0603+42-S IR detection object #3658

Color images and BPZ results
Catalog: 3658.cat
Black segments are analyzed here.   Roll mouse over color images to view segments.
Best viewed in a wide browser window (1200 pixels or more).   Download SED & P(z) plots to view larger versions.
In P(z) plots: Yellow lines mark the cluster redshift z = 0.228,  

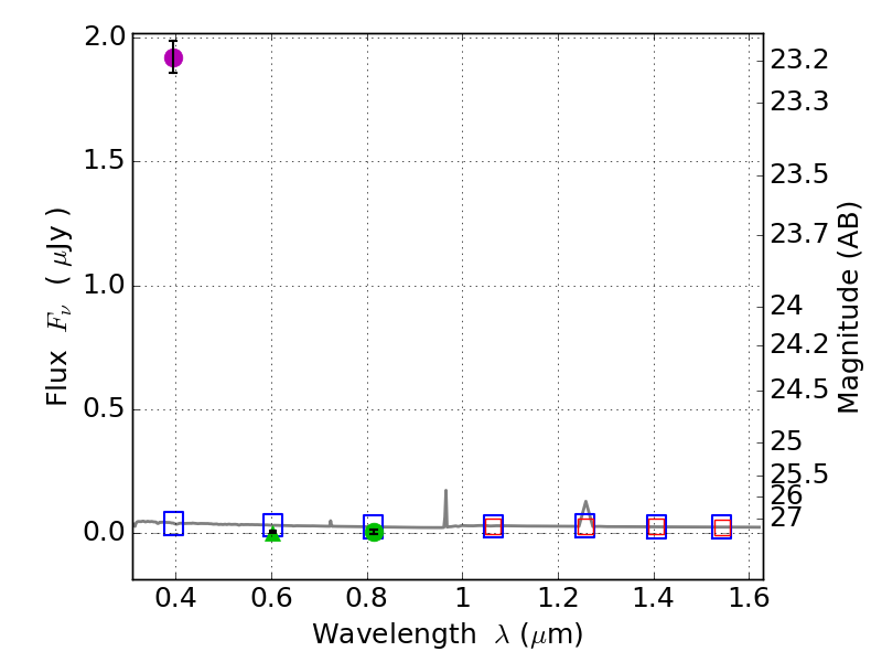
Object #3658   x,y = (4083, 2766)   RA, Dec = (06:03:17.880, 42:10:12.36) = (90.82450, 42.17010)   BPZ = 1.594 [1.008--2.251]   type = 11.00 (SB11_A_0_l)   stellarity = 0.72   chisq2 = 886.60   ODDS = 0.28   z_cluster = 0.228