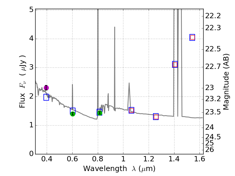
RXS0603+42-S IR detection object #3620

Color images and BPZ results
Catalog: 3620.cat
Black segments are analyzed here.   Roll mouse over color images to view segments.
Best viewed in a wide browser window (1200 pixels or more).   Download SED & P(z) plots to view larger versions.
In P(z) plots: Yellow lines mark the cluster redshift z = 0.228,  

Object #3620   x,y = (4068, 2776)   RA, Dec = (06:03:17.952, 42:10:12.72) = (90.82480, 42.17020)   BPZ = 1.151 [1.059--1.271]   type = 11.00 (SB11_A_0_l)   stellarity = 0.94   chisq2 = 1.48   ODDS = 0.91   z_cluster = 0.228