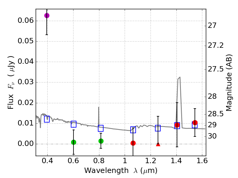
RXS0603+42-S IR detection object #3570

Color images and BPZ results
Catalog: 3570.cat
Black segments are analyzed here.   Roll mouse over color images to view segments.
Best viewed in a wide browser window (1200 pixels or more).   Download SED & P(z) plots to view larger versions.
In P(z) plots: Yellow lines mark the cluster redshift z = 0.228,  

Object #3570   x,y = (1774, 2802)   RA, Dec = (06:03:30.336, 42:10:14.52) = (90.87640, 42.17070)   BPZ = 1.855 [0.561--5.072]   type = 11.00 (SB11_A_0_l)   stellarity = 0.48   chisq2 = 8.48   ODDS = 0.17   z_cluster = 0.228