RXS0603+42-S IR detection object #3567

Color images and BPZ results
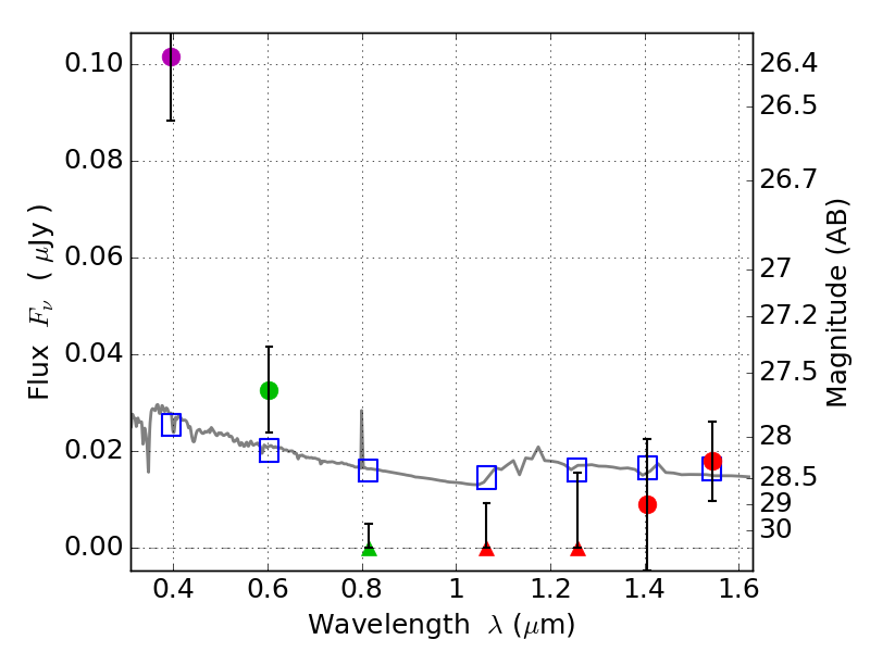
Catalog: 3567.cat
Black segments are analyzed here.   Roll mouse over color images to view segments.
Best viewed in a wide browser window (1200 pixels or more).   Download SED & P(z) plots to view larger versions.
In P(z) plots: Yellow lines mark the cluster redshift z = 0.228,  

Object #3567   x,y = (2488, 2801)   RA, Dec = (06:03:26.472, 42:10:14.52) = (90.86030, 42.17070)   BPZ = 1.857 [1.186--2.457]   type = 11.00 (SB11_A_0_l)   stellarity = 0.45   chisq2 = 11.72   ODDS = 0.30   z_cluster = 0.228