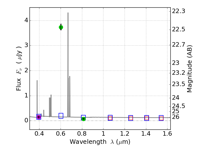
RXS0603+42-S IR detection object #3559

Color images and BPZ results
Catalog: 3559.cat
Black segments are analyzed here.   Roll mouse over color images to view segments.
Best viewed in a wide browser window (1200 pixels or more).   Download SED & P(z) plots to view larger versions.
In P(z) plots: Yellow lines mark the cluster redshift z = 0.228,  

Object #3559   x,y = (1321, 2800)   RA, Dec = (06:03:32.784, 42:10:14.16) = (90.88660, 42.17060)   BPZ = 0.020 [0.010--0.045]   type = 11.00 (SB11_A_0_l)   stellarity = 0.86   chisq2 = 973.70   ODDS = 1.00   z_cluster = 0.228