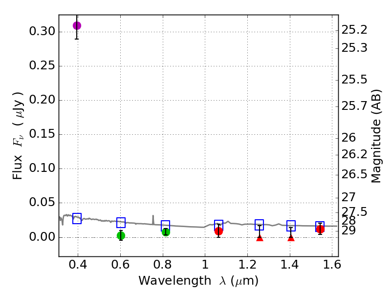
RXS0603+42-S IR detection object #3508

Color images and BPZ results
Catalog: 3508.cat
Black segments are analyzed here.   Roll mouse over color images to view segments.
Best viewed in a wide browser window (1200 pixels or more).   Download SED & P(z) plots to view larger versions.
In P(z) plots: Yellow lines mark the cluster redshift z = 0.228,  

Object #3508   x,y = (1999, 2826)   RA, Dec = (06:03:29.112, 42:10:15.96) = (90.87130, 42.17110)   BPZ = 1.701 [1.012--2.290]   type = 11.00 (SB11_A_0_l)   stellarity = 0.70   chisq2 = 51.92   ODDS = 0.37   z_cluster = 0.228