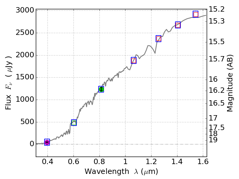
RXS0603+42-S IR detection object #3490

Color images and BPZ results
Catalog: 3490.cat
Black segments are analyzed here.   Roll mouse over color images to view segments.
Best viewed in a wide browser window (1200 pixels or more).   Download SED & P(z) plots to view larger versions.
In P(z) plots: Yellow lines mark the cluster redshift z = 0.228,  

Object #3490   x,y = (1346, 2844)   RA, Dec = (06:03:32.640, 42:10:17.04) = (90.88600, 42.17140)   BPZ = 0.441 [0.348--0.766]   type = 3.70 (Ell4_A_0 - Ell5_A_0)   stellarity = 1.00   chisq2 = 0.00   ODDS = 0.69   z_cluster = 0.228