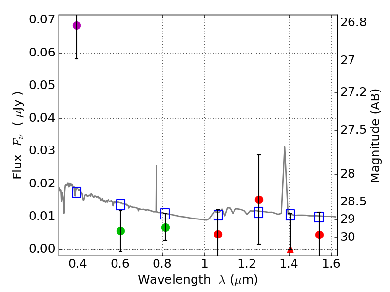
RXS0603+42-S IR detection object #3482

Color images and BPZ results
Catalog: 3482.cat
Black segments are analyzed here.   Roll mouse over color images to view segments.
Best viewed in a wide browser window (1200 pixels or more).   Download SED & P(z) plots to view larger versions.
In P(z) plots: Yellow lines mark the cluster redshift z = 0.228,  

Object #3482   x,y = (2942, 2838)   RA, Dec = (06:03:24.024, 42:10:16.68) = (90.85010, 42.17130)   BPZ = 1.763 [0.514--2.605]   type = 11.00 (SB11_A_0_l)   stellarity = 0.36   chisq2 = 7.25   ODDS = 0.24   z_cluster = 0.228