RXS0603+42-S IR detection object #3465

Color images and BPZ results
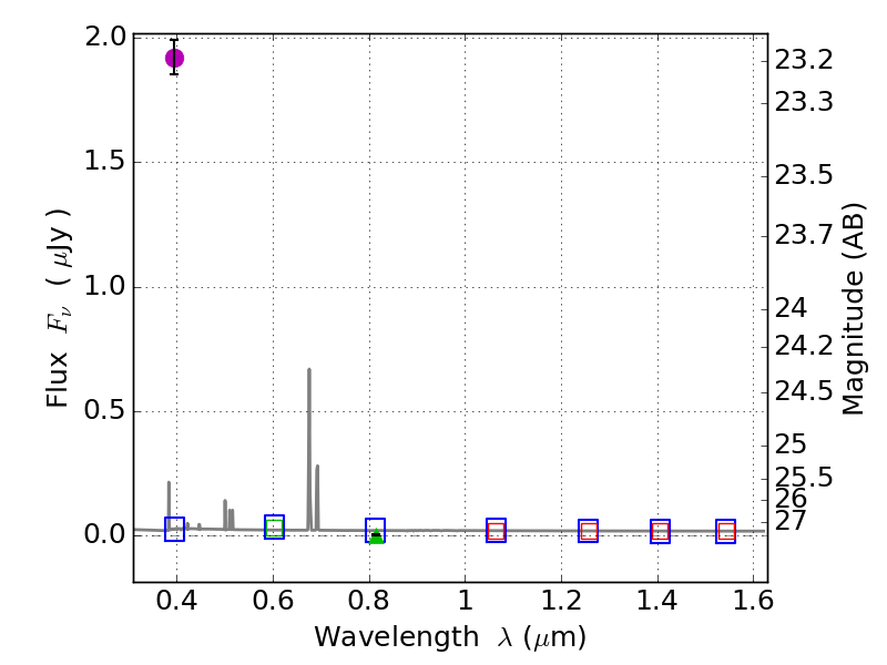
Catalog: 3465.cat
Black segments are analyzed here.   Roll mouse over color images to view segments.
Best viewed in a wide browser window (1200 pixels or more).   Download SED & P(z) plots to view larger versions.
In P(z) plots: Yellow lines mark the cluster redshift z = 0.228,  

Object #3465   x,y = (1142, 2840)   RA, Dec = (06:03:33.744, 42:10:16.68) = (90.89060, 42.17130)   BPZ = 0.028 [0.014--0.815]   type = 11.00 (SB11_A_0_l)   stellarity = 0.92   chisq2 = 733.50   ODDS = 0.30   z_cluster = 0.228