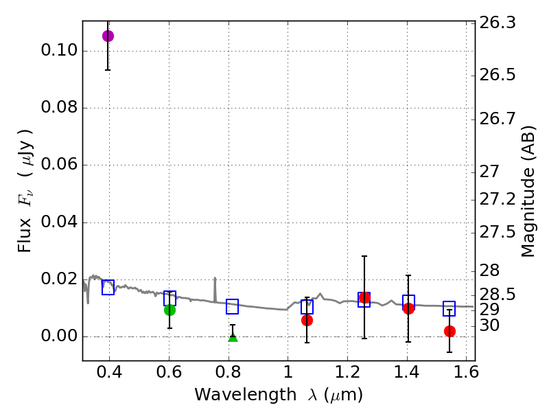
RXS0603+42-S IR detection object #3445

Color images and BPZ results
Catalog: 3445.cat
Black segments are analyzed here.   Roll mouse over color images to view segments.
Best viewed in a wide browser window (1200 pixels or more).   Download SED & P(z) plots to view larger versions.
In P(z) plots: Yellow lines mark the cluster redshift z = 0.228,  

Object #3445   x,y = (3513, 2851)   RA, Dec = (06:03:20.952, 42:10:17.40) = (90.83730, 42.17150)   BPZ = 1.696 [0.762--2.503]   type = 11.00 (SB11_A_0_l)   stellarity = 0.35   chisq2 = 15.20   ODDS = 0.32   z_cluster = 0.228