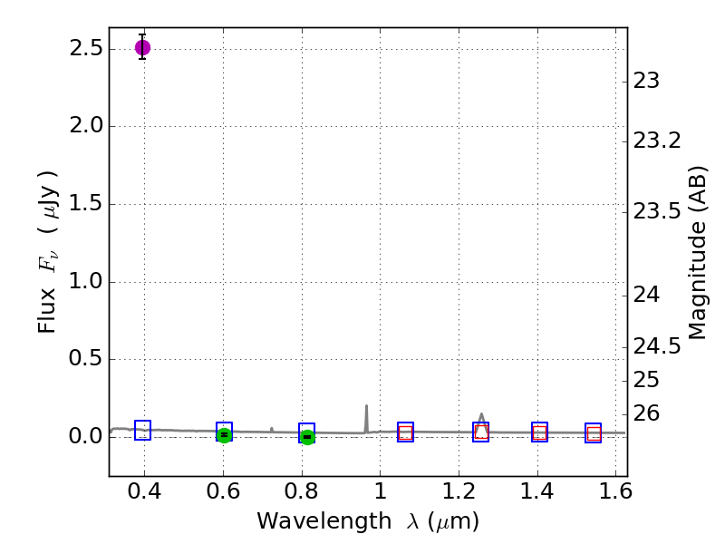
RXS0603+42-S IR detection object #3409

Color images and BPZ results
Catalog: 3409.cat
Black segments are analyzed here.   Roll mouse over color images to view segments.
Best viewed in a wide browser window (1200 pixels or more).   Download SED & P(z) plots to view larger versions.
In P(z) plots: Yellow lines mark the cluster redshift z = 0.228,  

Object #3409   x,y = (4116, 2850)   RA, Dec = (06:03:17.688, 42:10:17.40) = (90.82370, 42.17150)   BPZ = 1.595 [1.104--2.264]   type = 11.00 (SB11_A_0_l)   stellarity = 1.00   chisq2 = 965.90   ODDS = 0.29   z_cluster = 0.228