RXS0603+42-S IR detection object #3391

Color images and BPZ results
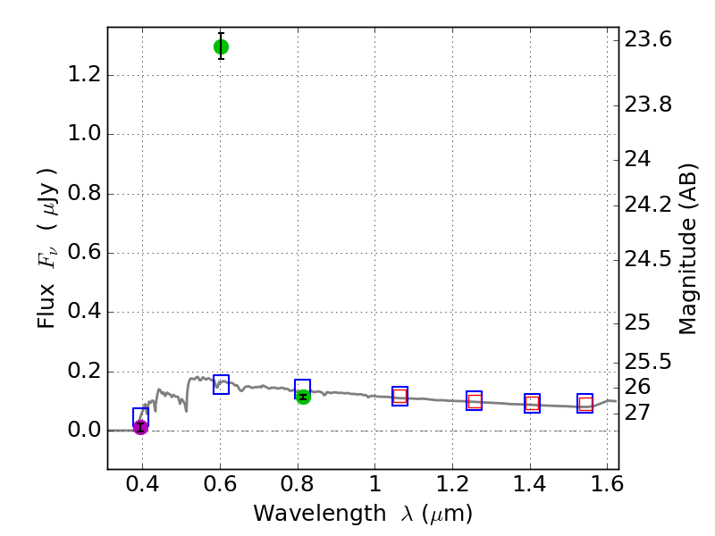
Catalog: 3391.cat
Black segments are analyzed here.   Roll mouse over color images to view segments.
Best viewed in a wide browser window (1200 pixels or more).   Download SED & P(z) plots to view larger versions.
In P(z) plots: Yellow lines mark the cluster redshift z = 0.228,  

Object #3391   x,y = (1346, 2876)   RA, Dec = (06:03:32.640, 42:10:18.84) = (90.88600, 42.17190)   BPZ = 3.229 [3.078--3.420]   type = 11.00 (SB11_A_0_l)   stellarity = 0.84   chisq2 = 671.50   ODDS = 0.95   z_cluster = 0.228