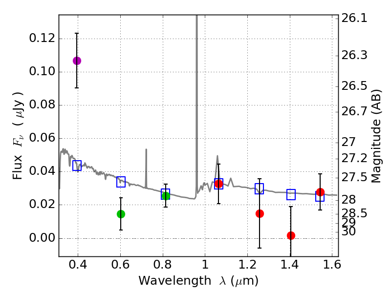
RXS0603+42-S IR detection object #3317

Color images and BPZ results
Catalog: 3317.cat
Black segments are analyzed here.   Roll mouse over color images to view segments.
Best viewed in a wide browser window (1200 pixels or more).   Download SED & P(z) plots to view larger versions.
In P(z) plots: Yellow lines mark the cluster redshift z = 0.228,  

Object #3317   x,y = (2322, 2918)   RA, Dec = (06:03:27.384, 42:10:21.36) = (90.86410, 42.17260)   BPZ = 1.583 [0.565--2.395]   type = 11.00 (SB11_A_0_l)   stellarity = 0.35   chisq2 = 5.11   ODDS = 0.20   z_cluster = 0.228