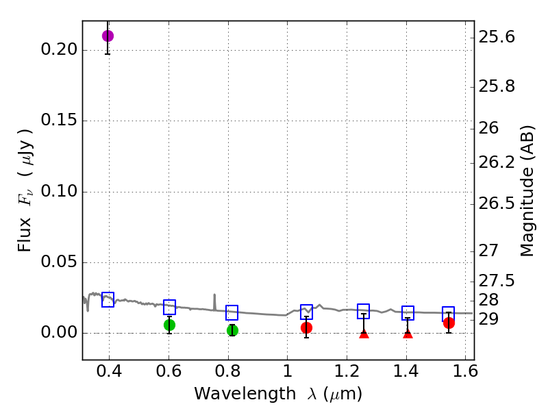
RXS0603+42-S IR detection object #3270

Color images and BPZ results
Catalog: 3270.cat
Black segments are analyzed here.   Roll mouse over color images to view segments.
Best viewed in a wide browser window (1200 pixels or more).   Download SED & P(z) plots to view larger versions.
In P(z) plots: Yellow lines mark the cluster redshift z = 0.228,  

Object #3270   x,y = (3079, 2935)   RA, Dec = (06:03:23.280, 42:10:22.44) = (90.84700, 42.17290)   BPZ = 1.701 [1.310--2.211]   type = 11.00 (SB11_A_0_l)   stellarity = 0.75   chisq2 = 54.64   ODDS = 0.46   z_cluster = 0.228