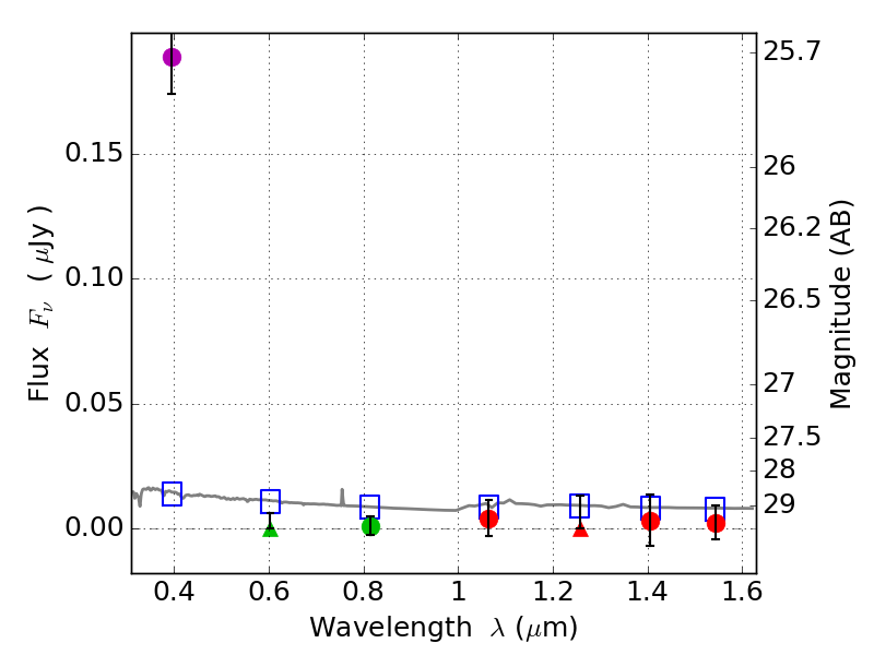
RXS0603+42-S IR detection object #3266

Color images and BPZ results
Catalog: 3266.cat
Black segments are analyzed here.   Roll mouse over color images to view segments.
Best viewed in a wide browser window (1200 pixels or more).   Download SED & P(z) plots to view larger versions.
In P(z) plots: Yellow lines mark the cluster redshift z = 0.228,  

Object #3266   x,y = (1705, 2939)   RA, Dec = (06:03:30.696, 42:10:22.80) = (90.87790, 42.17300)   BPZ = 1.701 [0.564--4.511]   type = 11.00 (SB11_A_0_l)   stellarity = 0.69   chisq2 = 34.99   ODDS = 0.23   z_cluster = 0.228