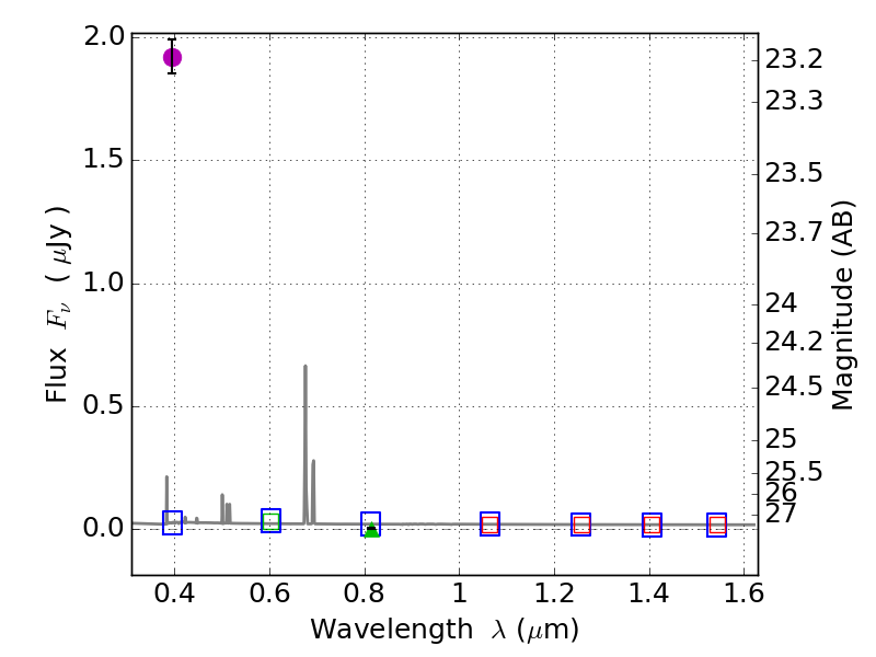
RXS0603+42-S IR detection object #3243

Color images and BPZ results
Catalog: 3243.cat
Black segments are analyzed here.   Roll mouse over color images to view segments.
Best viewed in a wide browser window (1200 pixels or more).   Download SED & P(z) plots to view larger versions.
In P(z) plots: Yellow lines mark the cluster redshift z = 0.228,  

Object #3243   x,y = (1176, 2944)   RA, Dec = (06:03:33.576, 42:10:22.80) = (90.88990, 42.17300)   BPZ = 0.028 [0.014--0.813]   type = 11.00 (SB11_A_0_l)   stellarity = 1.00   chisq2 = 748.10   ODDS = 0.31   z_cluster = 0.228