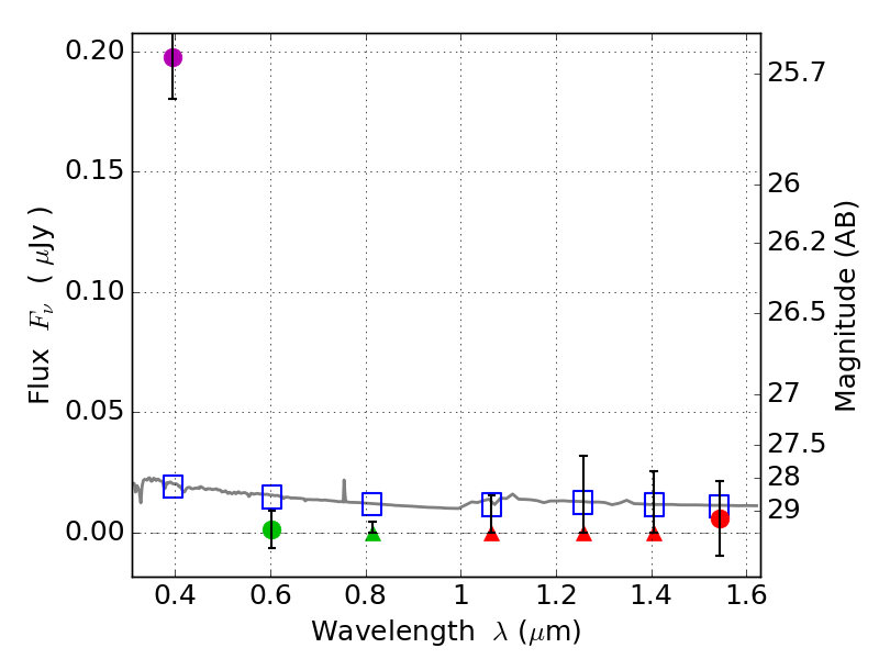
RXS0603+42-S IR detection object #3118

Color images and BPZ results
Catalog: 3118.cat
Black segments are analyzed here.   Roll mouse over color images to view segments.
Best viewed in a wide browser window (1200 pixels or more).   Download SED & P(z) plots to view larger versions.
In P(z) plots: Yellow lines mark the cluster redshift z = 0.228,  

Object #3118   x,y = (1591, 2996)   RA, Dec = (06:03:31.320, 42:10:26.04) = (90.88050, 42.17390)   BPZ = 1.699 [0.682--3.717]   type = 11.00 (SB11_A_0_l)   stellarity = 0.67   chisq2 = 28.05   ODDS = 0.23   z_cluster = 0.228