RXS0603+42-S IR detection object #3113

Color images and BPZ results
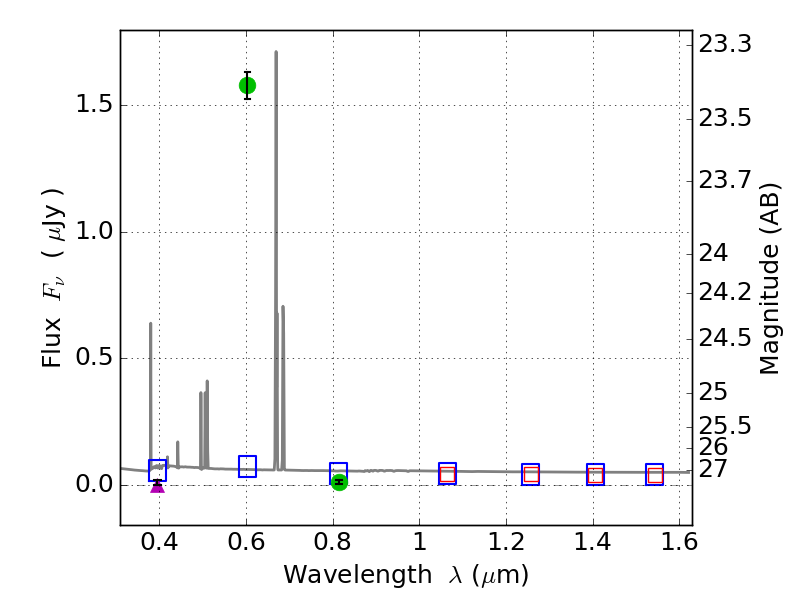
Catalog: 3113.cat
Black segments are analyzed here.   Roll mouse over color images to view segments.
Best viewed in a wide browser window (1200 pixels or more).   Download SED & P(z) plots to view larger versions.
In P(z) plots: Yellow lines mark the cluster redshift z = 0.228,  

Object #3113   x,y = (1393, 2997)   RA, Dec = (06:03:32.400, 42:10:26.04) = (90.88500, 42.17390)   BPZ = 0.023 [0.011--3.211]   type = 11.00 (SB11_A_0_l)   stellarity = 0.78   chisq2 = 841.20   ODDS = 0.63   z_cluster = 0.228