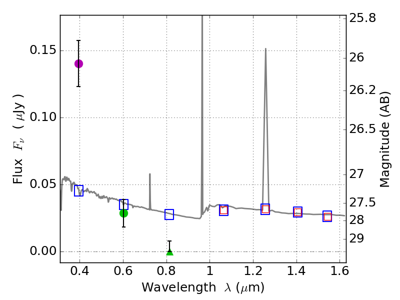
RXS0603+42-S IR detection object #3084

Color images and BPZ results
Catalog: 3084.cat
Black segments are analyzed here.   Roll mouse over color images to view segments.
Best viewed in a wide browser window (1200 pixels or more).   Download SED & P(z) plots to view larger versions.
In P(z) plots: Yellow lines mark the cluster redshift z = 0.228,  

Object #3084   x,y = (4037, 3016)   RA, Dec = (06:03:18.120, 42:10:27.12) = (90.82550, 42.17420)   BPZ = 1.594 [1.182--2.226]   type = 11.00 (SB11_A_0_l)   stellarity = 0.40   chisq2 = 41.39   ODDS = 0.31   z_cluster = 0.228