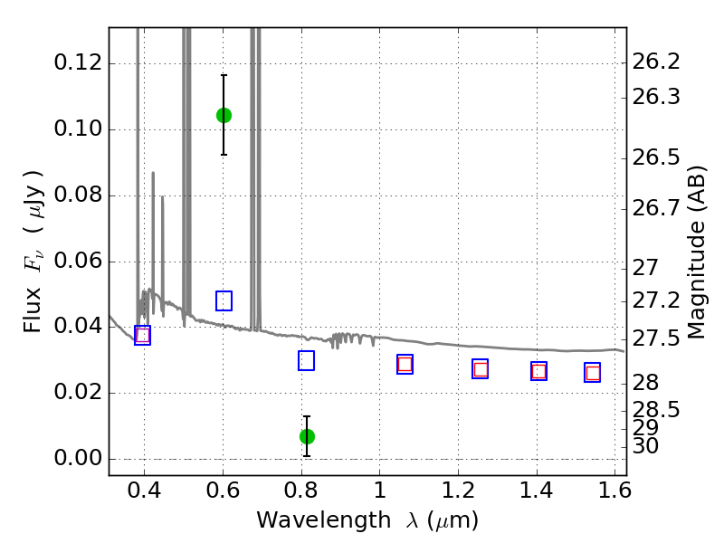
RXS0603+42-S IR detection object #296

Color images and BPZ results
Catalog: 296.cat
Black segments are analyzed here.   Roll mouse over color images to view segments.
Best viewed in a wide browser window (1200 pixels or more).   Download SED & P(z) plots to view larger versions.
In P(z) plots: Yellow lines mark the cluster redshift z = 0.228,  

Object #296   x,y = (2493, 4215)   RA, Dec = (06:03:26.448, 42:11:39.12) = (90.86020, 42.19420)   BPZ = 0.026 [0.022--3.141]   type = 11.00 (SB11_A_0_l)   stellarity = 0.74   chisq2 = 31.43   ODDS = 0.08   z_cluster = 0.228