RXS0603+42-S IR detection object #2937

Color images and BPZ results
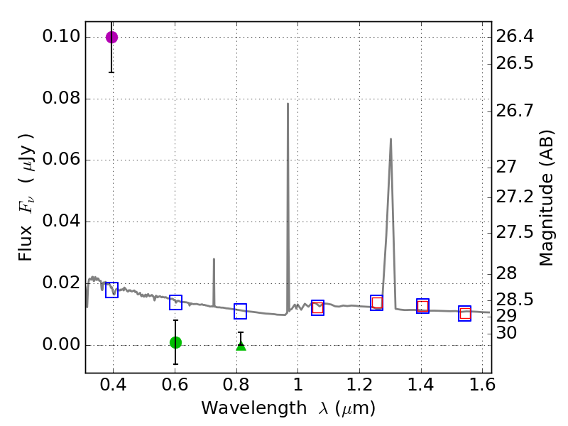
Catalog: 2937.cat
Black segments are analyzed here.   Roll mouse over color images to view segments.
Best viewed in a wide browser window (1200 pixels or more).   Download SED & P(z) plots to view larger versions.
In P(z) plots: Yellow lines mark the cluster redshift z = 0.228,  

Object #2937   x,y = (3824, 3080)   RA, Dec = (06:03:19.272, 42:10:31.08) = (90.83030, 42.17530)   BPZ = 1.596 [0.770--4.790]   type = 11.00 (SB11_A_0_l)   stellarity = 0.62   chisq2 = 58.29   ODDS = 0.21   z_cluster = 0.228