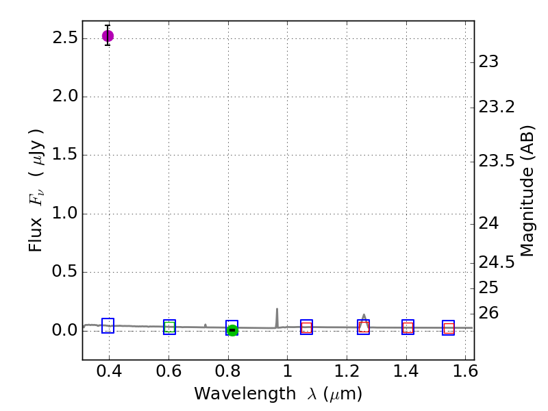
RXS0603+42-S IR detection object #2873

Color images and BPZ results
Catalog: 2873.cat
Black segments are analyzed here.   Roll mouse over color images to view segments.
Best viewed in a wide browser window (1200 pixels or more).   Download SED & P(z) plots to view larger versions.
In P(z) plots: Yellow lines mark the cluster redshift z = 0.228,  

Object #2873   x,y = (1229, 3107)   RA, Dec = (06:03:33.264, 42:10:32.88) = (90.88860, 42.17580)   BPZ = 1.595 [1.061--2.350]   type = 11.00 (SB11_A_0_l)   stellarity = 1.00   chisq2 = 874.70   ODDS = 0.29   z_cluster = 0.228