RXS0603+42-S IR detection object #2871

Color images and BPZ results
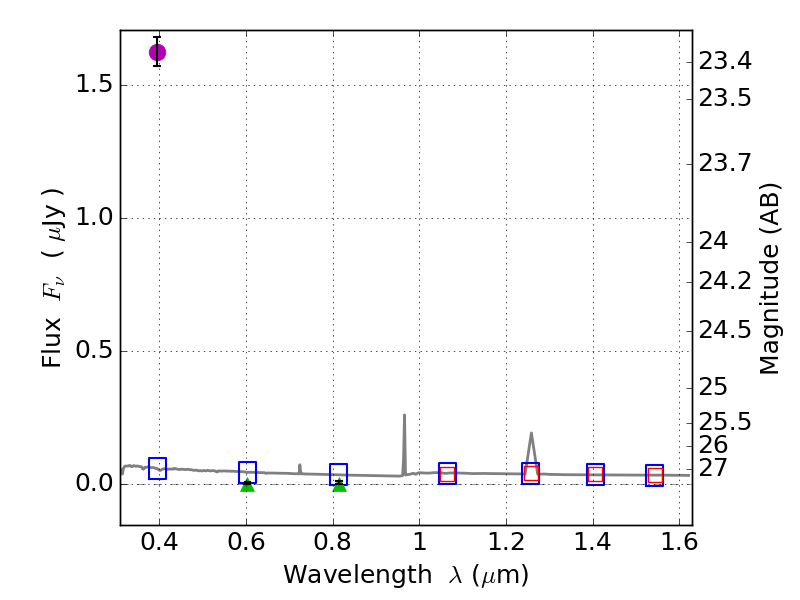
Catalog: 2871.cat
Black segments are analyzed here.   Roll mouse over color images to view segments.
Best viewed in a wide browser window (1200 pixels or more).   Download SED & P(z) plots to view larger versions.
In P(z) plots: Yellow lines mark the cluster redshift z = 0.228,  

Object #2871   x,y = (4201, 3106)   RA, Dec = (06:03:17.232, 42:10:32.52) = (90.82180, 42.17570)   BPZ = 1.592 [0.971--2.076]   type = 11.00 (SB11_A_0_l)   stellarity = 0.99   chisq2 = 807.50   ODDS = 0.28   z_cluster = 0.228