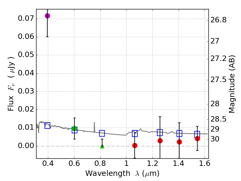
RXS0603+42-S IR detection object #2863

Color images and BPZ results
Catalog: 2863.cat
Black segments are analyzed here.   Roll mouse over color images to view segments.
Best viewed in a wide browser window (1200 pixels or more).   Download SED & P(z) plots to view larger versions.
In P(z) plots: Yellow lines mark the cluster redshift z = 0.228,  

Object #2863   x,y = (2696, 3109)   RA, Dec = (06:03:25.368, 42:10:32.88) = (90.85570, 42.17580)   BPZ = 1.699 [0.350--4.831]   type = 11.00 (SB11_A_0_l)   stellarity = 0.36   chisq2 = 7.86   ODDS = 0.14   z_cluster = 0.228