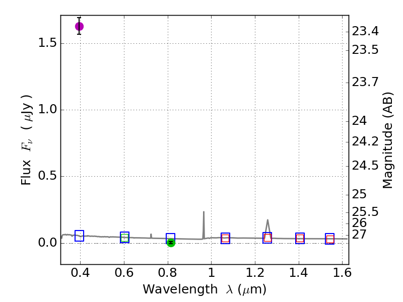
RXS0603+42-S IR detection object #2835

Color images and BPZ results
Catalog: 2835.cat
Black segments are analyzed here.   Roll mouse over color images to view segments.
Best viewed in a wide browser window (1200 pixels or more).   Download SED & P(z) plots to view larger versions.
In P(z) plots: Yellow lines mark the cluster redshift z = 0.228,  

Object #2835   x,y = (1296, 3133)   RA, Dec = (06:03:32.928, 42:10:34.32) = (90.88720, 42.17620)   BPZ = 1.595 [1.250--2.180]   type = 11.00 (SB11_A_0_l)   stellarity = 1.00   chisq2 = 644.10   ODDS = 0.36   z_cluster = 0.228