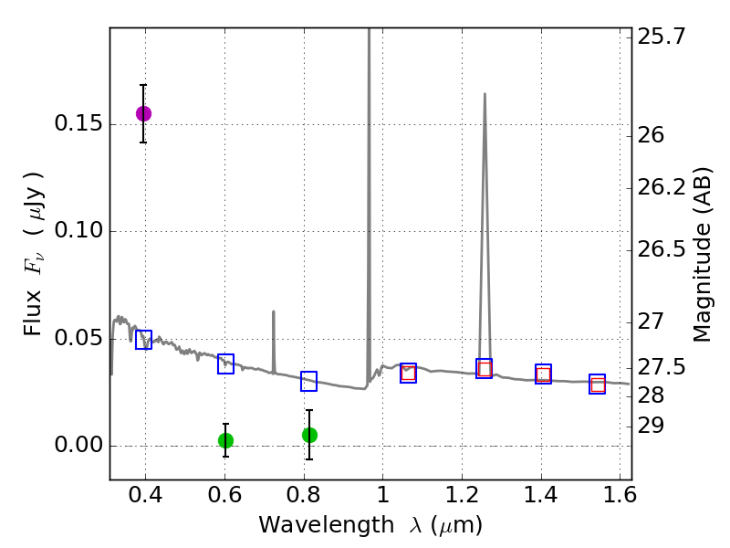
RXS0603+42-S IR detection object #2830

Color images and BPZ results
Catalog: 2830.cat
Black segments are analyzed here.   Roll mouse over color images to view segments.
Best viewed in a wide browser window (1200 pixels or more).   Download SED & P(z) plots to view larger versions.
In P(z) plots: Yellow lines mark the cluster redshift z = 0.228,  

Object #2830   x,y = (4075, 3394)   RA, Dec = (06:03:17.928, 42:10:49.80) = (90.82470, 42.18050)   BPZ = 1.591 [0.968--2.043]   type = 11.00 (SB11_A_0_l)   stellarity = 0.64   chisq2 = 81.53   ODDS = 0.28   z_cluster = 0.228