RXS0603+42-S IR detection object #2737

Color images and BPZ results
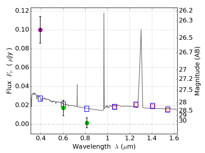
Catalog: 2737.cat
Black segments are analyzed here.   Roll mouse over color images to view segments.
Best viewed in a wide browser window (1200 pixels or more).   Download SED & P(z) plots to view larger versions.
In P(z) plots: Yellow lines mark the cluster redshift z = 0.228,  

Object #2737   x,y = (1559, 3179)   RA, Dec = (06:03:31.488, 42:10:37.20) = (90.88120, 42.17700)   BPZ = 1.596 [1.022--2.423]   type = 11.00 (SB11_A_0_l)   stellarity = 0.40   chisq2 = 34.26   ODDS = 0.25   z_cluster = 0.228