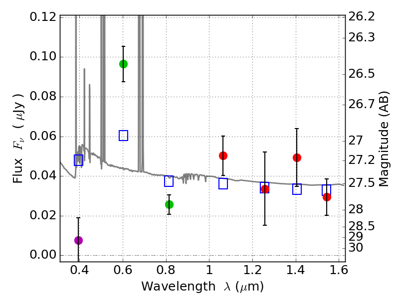
RXS0603+42-S IR detection object #2727

Color images and BPZ results
Catalog: 2727.cat
Black segments are analyzed here.   Roll mouse over color images to view segments.
Best viewed in a wide browser window (1200 pixels or more).   Download SED & P(z) plots to view larger versions.
In P(z) plots: Yellow lines mark the cluster redshift z = 0.228,  

Object #2727   x,y = (2606, 3184)   RA, Dec = (06:03:25.848, 42:10:37.56) = (90.85770, 42.17710)   BPZ = 0.027 [0.015--3.428]   type = 11.00 (SB11_A_0_l)   stellarity = 0.39   chisq2 = 7.77   ODDS = 0.24   z_cluster = 0.228