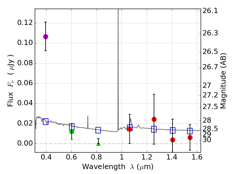
RXS0603+42-S IR detection object #2710

Color images and BPZ results
Catalog: 2710.cat
Black segments are analyzed here.   Roll mouse over color images to view segments.
Best viewed in a wide browser window (1200 pixels or more).   Download SED & P(z) plots to view larger versions.
In P(z) plots: Yellow lines mark the cluster redshift z = 0.228,  

Object #2710   x,y = (3549, 3283)   RA, Dec = (06:03:20.760, 42:10:43.32) = (90.83650, 42.17870)   BPZ = 1.611 [0.719--2.520]   type = 11.00 (SB11_A_0_l)   stellarity = 0.35   chisq2 = 10.67   ODDS = 0.25   z_cluster = 0.228