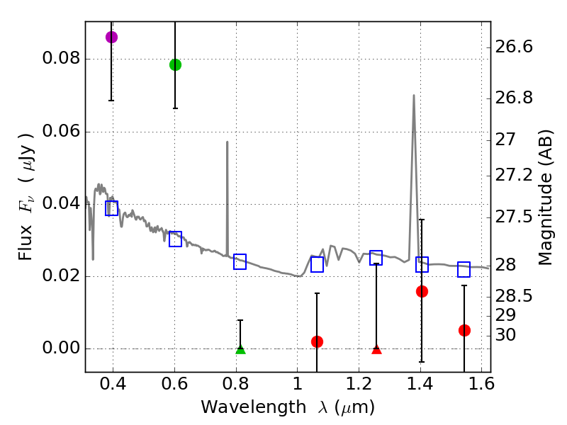
RXS0603+42-S IR detection object #2701

Color images and BPZ results
Catalog: 2701.cat
Black segments are analyzed here.   Roll mouse over color images to view segments.
Best viewed in a wide browser window (1200 pixels or more).   Download SED & P(z) plots to view larger versions.
In P(z) plots: Yellow lines mark the cluster redshift z = 0.228,  

Object #2701   x,y = (2699, 3198)   RA, Dec = (06:03:25.344, 42:10:38.28) = (90.85560, 42.17730)   BPZ = 1.763 [0.032--2.705]   type = 11.00 (SB11_A_0_l)   stellarity = 0.40   chisq2 = 9.00   ODDS = 0.27   z_cluster = 0.228