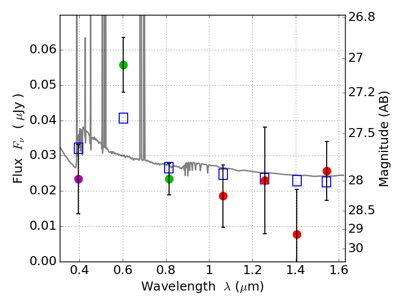
RXS0603+42-S IR detection object #2656

Color images and BPZ results
Catalog: 2656.cat
Black segments are analyzed here.   Roll mouse over color images to view segments.
Best viewed in a wide browser window (1200 pixels or more).   Download SED & P(z) plots to view larger versions.
In P(z) plots: Yellow lines mark the cluster redshift z = 0.228,  

Object #2656   x,y = (3168, 3227)   RA, Dec = (06:03:22.800, 42:10:40.08) = (90.84500, 42.17780)   BPZ = 0.038 [0.031--3.189]   type = 11.00 (SB11_A_0_l)   stellarity = 0.35   chisq2 = 1.62   ODDS = 0.07   z_cluster = 0.228