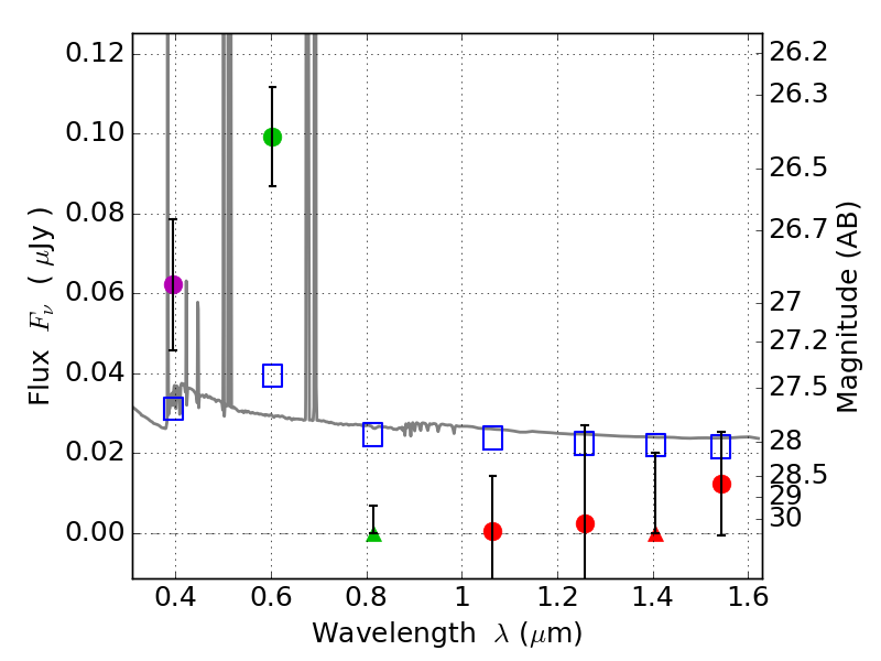
RXS0603+42-S IR detection object #2634

Color images and BPZ results
Catalog: 2634.cat
Black segments are analyzed here.   Roll mouse over color images to view segments.
Best viewed in a wide browser window (1200 pixels or more).   Download SED & P(z) plots to view larger versions.
In P(z) plots: Yellow lines mark the cluster redshift z = 0.228,  

Object #2634   x,y = (2605, 3231)   RA, Dec = (06:03:25.848, 42:10:40.08) = (90.85770, 42.17780)   BPZ = 0.028 [0.019--2.807]   type = 11.00 (SB11_A_0_l)   stellarity = 0.18   chisq2 = 10.51   ODDS = 0.12   z_cluster = 0.228