RXS0603+42-S IR detection object #2633

Color images and BPZ results
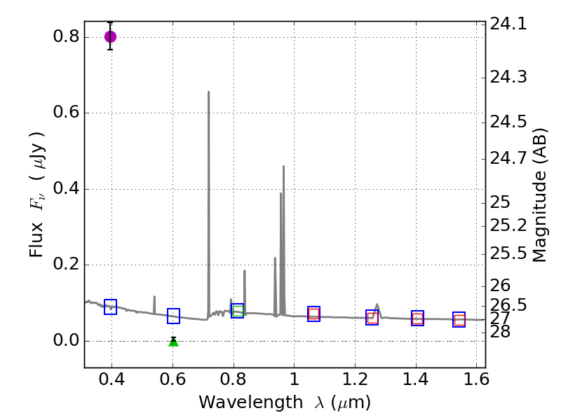
Catalog: 2633.cat
Black segments are analyzed here.   Roll mouse over color images to view segments.
Best viewed in a wide browser window (1200 pixels or more).   Download SED & P(z) plots to view larger versions.
In P(z) plots: Yellow lines mark the cluster redshift z = 0.228,  

Object #2633   x,y = (4263, 3234)   RA, Dec = (06:03:16.896, 42:10:40.44) = (90.82040, 42.17790)   BPZ = 0.930 [0.890--10.575]   type = 11.00 (SB11_A_0_l)   stellarity = 0.96   chisq2 = 421.40   ODDS = 0.38   z_cluster = 0.228