RXS0603+42-S IR detection object #2581

Color images and BPZ results
Catalog: 2581.cat
Black segments are analyzed here.   Roll mouse over color images to view segments.
Best viewed in a wide browser window (1200 pixels or more).   Download SED & P(z) plots to view larger versions.
In P(z) plots: Yellow lines mark the cluster redshift z = 0.228,  

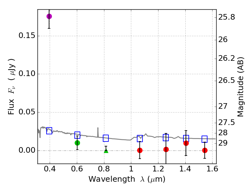
Object #2581   x,y = (3241, 3257)   RA, Dec = (06:03:22.416, 42:10:41.88) = (90.84340, 42.17830)   BPZ = 1.699 [0.955--2.388]   type = 11.00 (SB11_A_0_l)   stellarity = 0.38   chisq2 = 24.40   ODDS = 0.37   z_cluster = 0.228