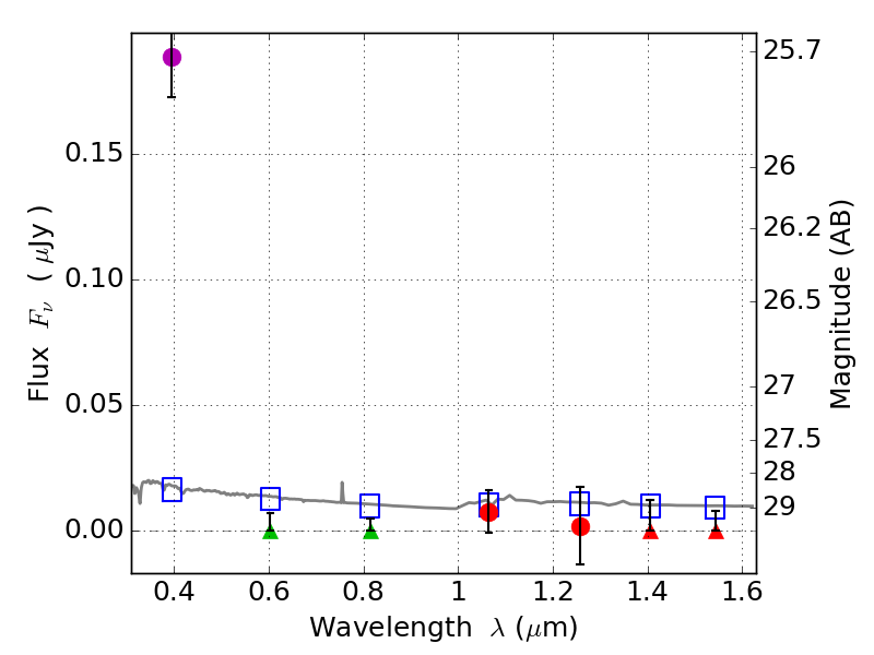
RXS0603+42-S IR detection object #2569

Color images and BPZ results
Catalog: 2569.cat
Black segments are analyzed here.   Roll mouse over color images to view segments.
Best viewed in a wide browser window (1200 pixels or more).   Download SED & P(z) plots to view larger versions.
In P(z) plots: Yellow lines mark the cluster redshift z = 0.228,  

Object #2569   x,y = (2087, 3275)   RA, Dec = (06:03:28.656, 42:10:42.96) = (90.86940, 42.17860)   BPZ = 1.702 [0.492--3.500]   type = 11.00 (SB11_A_0_l)   stellarity = 0.72   chisq2 = 29.77   ODDS = 0.24   z_cluster = 0.228