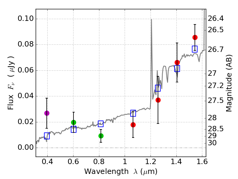
RXS0603+42-S IR detection object #2446

Color images and BPZ results
Catalog: 2446.cat
Black segments are analyzed here.   Roll mouse over color images to view segments.
Best viewed in a wide browser window (1200 pixels or more).   Download SED & P(z) plots to view larger versions.
In P(z) plots: Yellow lines mark the cluster redshift z = 0.228,  

Object #2446   x,y = (3422, 3326)   RA, Dec = (06:03:21.432, 42:10:45.84) = (90.83930, 42.17940)   BPZ = 2.243 [1.269--2.766]   type = 7.60 (SB1_B10 - Scd_B10)   stellarity = 0.36   chisq2 = 1.40   ODDS = 0.32   z_cluster = 0.228