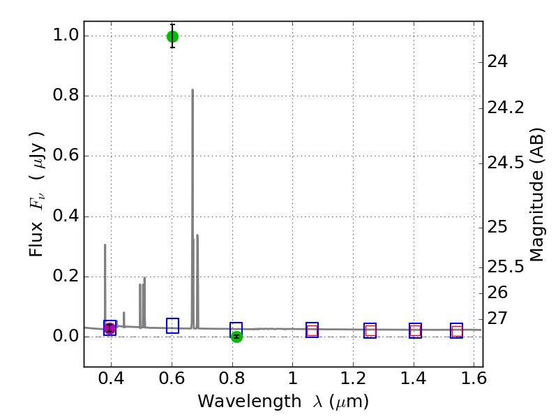
RXS0603+42-S IR detection object #2411

Color images and BPZ results
Catalog: 2411.cat
Black segments are analyzed here.   Roll mouse over color images to view segments.
Best viewed in a wide browser window (1200 pixels or more).   Download SED & P(z) plots to view larger versions.
In P(z) plots: Yellow lines mark the cluster redshift z = 0.228,  

Object #2411   x,y = (1524, 3340)   RA, Dec = (06:03:31.680, 42:10:46.56) = (90.88200, 42.17960)   BPZ = 0.025 [0.024--2.942]   type = 11.00 (SB11_A_0_l)   stellarity = 0.72   chisq2 = 613.70   ODDS = 0.07   z_cluster = 0.228